欢迎访问《日用化学工业(中英文)》,今天是

日用化学工业(中英文) ›› 2025, Vol. 55 ›› Issue (11): 1395-1401.doi: 10.3969/j.issn.2097-2806.2025.11.004

• 基础研究 • 上一篇    下一篇

疏松砂岩油藏固砂堵水体系制备及性能评价

黄志伟1,*(),简涌钱2,周铭强2,刘金龙3   

  1. 1.中国石化集团胜利油田分公司胜利采油厂山东 东营 257100
    2.长庆油田分公司第五采油厂陕西 西安 710021
    3.长庆油田分公司第九采油厂采油工艺研究所宁夏 银川 750000
  • 收稿日期:2024-11-26 修回日期:2025-11-21 出版日期:2025-11-22 发布日期:2025-12-22
  • 基金资助:
    山东省自然科学基金项目(ZR2023QD021)

Preparation and performance evaluation of sand consolidation and water blocking system for loose sandstone reservoir

Zhiwei Huang1,*(),Yongqian Jian2,Mingqiang Zhou2,Jinlong Liu3   

  1. 1. Shengli Oil Production Plant, Shengli Oilfield Company, SINOPEC, Dongying, Shandong 257100, China
    2. Fifth Oil Production Plant, Changqing Oilfield Branch, Xi’an, Shaanxi 710021, China
    3. Oil Production Technology Research Institute of No.9 Oil Production Plant, PetroChina Changqing Oilfield Company, Yinchuan, Ningxia 750000, China
  • Received:2024-11-26 Revised:2025-11-21 Online:2025-11-22 Published:2025-12-22

摘要:

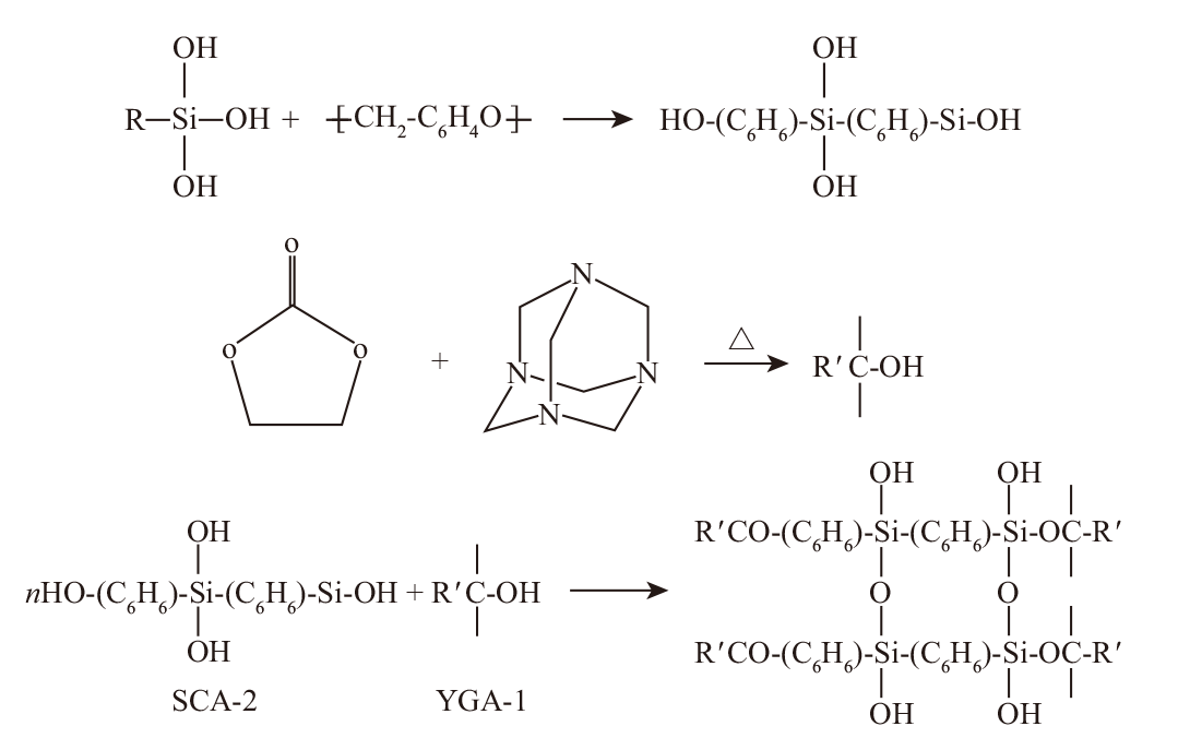
油井出砂和高含水是制约疏松砂岩油藏高产稳产的两大难题,本研究以纳米SiO2、偶联剂三乙氧基硅烷、酚醛树脂和正辛醇合成主剂SCA-2,选用六次甲基四胺和碳酸乙烯酯制备出固化剂YGA-1,并将两者复配最终获得固砂堵水体系。首先采用单因素实验确定了SCA-2和YGA-1的较佳使用含量,然后评价体系的固砂堵水性能,最后开展了矿场先导性试验。实验结果表明:体系较佳配方组成为10% SCA-2+5% YGA-1,该体系成胶时间为180 min,成胶后的黏度可达108.4 mPa·s。药剂体系使用量为0.6 PV时出砂率小于0.08%,双管并联实验结果显示固砂堵水体系对于水流通道封堵率为87.5%,而对于油流通道封堵率仅为11.3%,对含油储层伤害程度小。矿场试验表明X油田M井措施后无砂采油期超过360天,含水率下降5.0%,累计增油量达7 092 m3。本研究为疏松砂岩油藏高效开发提供了新的思路。

关键词: 固砂堵水, 疏松砂岩, 配方优化, 性能评价, 矿场试验

Abstract:

Sand production and high water content in oil wells are two major challenges that restrict high and stable production in loose sandstone reservoirs. In this paper, nano SiO2, coupling agent triethoxysilane, phenolic resin and n-octanol were used to synthesize the main agent SCA-2. Hexamethylenetetramine and vinyl carbonate were selected to prepare the curing agent YGA-1, which was then compounded with SCA-2 to develop a sand fixation and water plugging system. Firstly, single-factor experiments were conducted to determine the optimal concentrations of SCA-2 and YGA-1, subsequently, the system’s sand fixation and water blocking performance were evaluated. Finally, a pilot test was carried out in the mining site. Experimental results showed that the optimal formula composition of the system was 10% SCA-2+5% YGA-1. The gelation time of the system was 180 minutes and the viscosity after gelation could reach 108.4 mPa·s. When the dosage of the drug system was 0.6 PV, the sand production rate remained below 0.08%. Dual-tube parallel experiments showed that the sand fixation and water plugging system had a water flow channel plugging rate of 87.5%, while the oil flow channel plugging rate was only 11.3%, indicating minimal damage to the oil-bearing reservoir. The field test showed that after the measures taken in Well M of X oilfield, the sand free oil recovery period exceeded 360 days, the water content decreased by 5.0% and the cumulative oil production increased by 7 092 m3. This study provides new ideas for efficient development of loose sandstone reservoirs.

Key words: solidify sand and block water, loose sandstone, formula optimization, performance evaluation, field test

中图分类号: 

  • TE133