欢迎访问《日用化学工业(中英文)》,今天是

日用化学工业(中英文) ›› 2025, Vol. 55 ›› Issue (9): 1169-1178.doi: 10.3969/j.issn.2097-2806.2025.09.011

• 开发与应用 • 上一篇    下一篇

表面活性剂十六烷基三甲基溴化铵改性Bi2WO6对含铬废水的光催化降解研究

霍本龙*(),谢昕   

  1. 河南职业技术学院 食品工程学院,河南 郑州 450000
  • 收稿日期:2025-01-16 修回日期:2025-08-15 出版日期:2025-09-22 发布日期:2025-10-11
  • 基金资助:
    2022年度河南职业技术学院科研项目(2022ZK37)

Study on the photocatalytic degradation of chromium-containing wastewater by cetyltrimethyl ammonium bromide modified Bi2WO6

Benlong Huo*(),Xin Xie   

  1. School of Food Engineering, Henan Polytechnic, Zhengzhou, Henan 450000, China
  • Received:2025-01-16 Revised:2025-08-15 Online:2025-09-22 Published:2025-10-11
  • Contact: *E-mail: huohlong@163.com.

摘要:

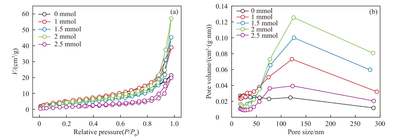
采用十六烷基三甲基溴化铵(CTAB)作为模板剂,通过水热法制备了CTAB改性Bi2WO6光催化剂,以Cr(VI)为模拟废水验证CTAB改性Bi2WO6的光催化性能,使用XRD、SEM、TEM、EDS、XPS、FTIR、PL对Bi2WO6光催化剂进行了表征。研究结果表明:水热法制备的CTAB改性Bi2WO6光催化剂为四方晶系白钨矿型,添加CTAB后Bi2WO6纳米片相互堆积形成了“花球状”,结构堆叠和结晶度均提高。CTAB改性Bi2WO6光催化剂的吸附-脱附等温线为Ⅳ型等温线,有明显的H3型滞后环,随着CTAB用量的增加,Bi2WO6光催化剂的比表面积、孔容先增大后降低,CTAB用量2 mmol的Bi2WO6的比表面积和孔容均达到了最大值39.4 m2/g、0.117 cm3/g,平均孔径为28.1 nm。CTAB用量2 mmol的Bi2WO6光催化剂的荧光强度最低,光生电子-空穴对的复合率最低,在240 min时,其对含铬(Cr)废水的降解率为最大值96.48%,相较纯Bi2WO6的催化效率提高了194.52%,酸性条件下能够提高Bi2WO6光催化剂对含Cr废水的降解率,该催化剂在循环使用5次时,降解率依旧超过了85%,具有优异的催化降解性能和循环性能。

关键词: 表面活性剂, 十六烷基三甲基溴化铵, 光催化, 废水, 降解率

Abstract:

Cetyltrimethyl ammonium bromide (CTAB) was selected as the template agent, and thus the CTAB-modified Bi2WO6 photocatalyst was prepared by hydrothermal method. Cr(VI) was used as simulated wastewater to verify the photocatalytic performance of CTAB-modified Bi2WO6. The photocatalyst was characterized by XRD, SEM, TEM, EDS, XPS, FTIR and PL. The results showed that the CTAB-modified Bi2WO6 photocatalyst prepared by hydrothermal method was of tetragonal scheelite type. After adding CTAB, the Bi2WO6 nanosheets accumulated to form “flower ball”, and the structure stacking and crystallinity were both improved. The adsorption-desorption isotherm of Bi2WO6 photocatalyst modified by CTAB was an Ⅳ-type isotherm with an obvious H3-type hysteresis loop. With the increase of the amount of CTAB, the specific surface area and pore volume of Bi2WO6 photocatalyst first increased and then decreased. The specific surface area and pore volume of 1 mmol Bi2WO6 added with 2 mmol CTAB reached the maximum values of 39.4 m2/g and 0.117 cm3/g, and the average pore size was 28.1 nm. The fluorescence intensity of 1 mmol Bi2WO6 photocatalyst added with 2 mmol CTAB was the lowest, and the photoelectron-hole pair recombination was the lowest. At 240 min, the percentage of degradation for Cr-containing wastewater was 96.48%. Compared with pure Bi2WO6, the catalytic efficiency was increased by 194.52%, and the degradation by the photocatalyst on Cr-containing wastewater could be improved under acidic conditions. The degradation by the photocatalyst still exceeded 85% when the catalyst was recycled for 5 times, which showed excellent catalytic degradation and recycling performance.

Key words: surfactant, cetyltrimethyl ammonium bromide (CTAB), photocatalysis, wastewater, degradation percentage

中图分类号: 

  • O643.36