China Surfactant Detergent & Cosmetics ›› 2025, Vol. 55 ›› Issue (10): 1245-1251.doi: 10.3969/j.issn.2097-2806.2025.10.003
• Basic research • Previous Articles Next Articles
Yu Yao1,Huanjin Zou2,Xuefeng Liu1,*(
)
Received:2024-11-25
Revised:2025-10-28
Online:2025-10-22
Published:2025-12-03
Contact:
Xuefeng Liu
E-mail:xfliu@jiangnan.edu.cn
CLC Number:
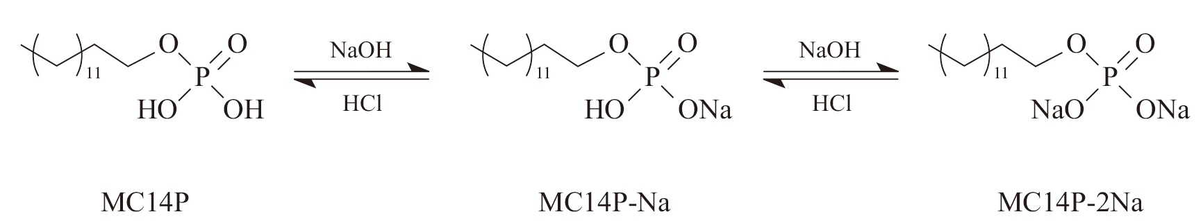
Yu Yao,Huanjin Zou,Xuefeng Liu. Reversible pH response of disodium monotetradecyl phosphate and how to recover it from solutions or emulsions[J].China Surfactant Detergent & Cosmetics, 2025, 55(10): 1245-1251.
Tab. 1
Recovery of MC14P-2Na from micellar solutions and emulsions"
| MC14P-2Na浓度/(mol/L) | 溶液体积/mL | MC14P-2Na 回收率/% | 水相中MC14P-2Na 残留率/% |
|---|---|---|---|
| 6.0×10-2 | 20.0 | 96.7±0.4 | 2.3±0.1 |
| 6.0×10-2 | 30.0 | 96.9±0.3 | 2.0±0.2 |
| 6.0×10-2 | 40.0 | 97.1±0.3 | 2.0±0.2 |
| MC14P-2Na浓度/(mol/L) | 乳状液的油水体积比(VO∶VW)和 体积(mL) | MC14P-2Na 回收率/% | 水相中MC14P-2Na 残留率/% |
| 4.0×10-2 | 2∶8,40.0 | 95.1±0.4 | 3.3±0.3 |
| 4.0×10-2 | 5∶5,40.0 | 95.2±0.2 | 3.3±0.5 |
Fig. 7
Digital photos of the residual aqueous phase after separation of MC14P-Na precipitates (A), the SDS solutions with concentrations of 1.0×10-3 mol/L (B) and 2.0×10-2 mol/L (C), the MC14P-2Na solutions with concentrations of 5.0×10-3 mol/L (D) and 4.0×10-2 mol/L (E) in presence of pinacyanol chloride"
| [1] |
Sar P, Ghosh A, Scarso A, et al. Surfactant for better tomorrow: Applied aspect of surfactant aggregates from laboratory to industry[J]. Research on Chemical Intermediates, 2009, 45 (12) : 6021-6041.
doi: 10.1007/s11164-019-04017-6 |
| [2] |
Johnson P, Trybala A, Starov V, et al. Effect of synthetic surfactants on the environment and the potential for substitution by biosurfactants[J]. Advances in Colloid and Interface Science, 2021, 288: 102340-102350.
doi: 10.1016/j.cis.2020.102340 |
| [3] |
Balk F, Hüsser B, Hollender J, et al. Bioconcentration assessment of three cationic surfactants in permanent fish cell lines[J]. Environmental Science and Technology, 2024, 58 (3) : 1452-1461.
doi: 10.1021/acs.est.3c05360 pmid: 38214086 |
| [4] |
Jena G, Dutta K, Daverey A. Surfactants in water and wastewater (greywater): Environmental toxicity and treatment options[J]. Chemosphere, 2023, 341: 140082-140094.
doi: 10.1016/j.chemosphere.2023.140082 |
| [5] |
Xu Y J, Zhang Y D, Liu X F, et al. Retrieving oil and recycling surfactant in surfactant-enhanced soil washing[J]. ACS Sustainable Chemistry and Engineering, 2018, 6 (4) : 4981-4986.
doi: 10.1021/acssuschemeng.7b04614 |
| [6] |
Pan J J, Sun L L, Liu X F, et al. Precipitation-dissolution switchable surfactants with the potential of simultaneous retrieving of surfactants and hydrophobic organic contaminants from emulsified and micellar eluents[J]. Chemical Engineering Journal, 2023, 458: 141297-141305.
doi: 10.1016/j.cej.2023.141297 |
| [7] |
Liu Y X, Jessop P G, Cunningham M, et al. Switchable surfactants[J]. Science, 2006, 313 (5789) : 958-960.
pmid: 16917059 |
| [8] |
Brown P, Butts C P, Eastoe J. Stimuli-responsive surfactants[J]. Soft Matter, 2013, 9: 2365-2374.
doi: 10.1039/c3sm27716j |
| [9] |
Wang S Y, Cai S, Liu X F, et al. Reversible CO2/N2-tuning Krafft temperature of sodium alkyl sulphonates and a proof-of-concept usage in surfactant-enhanced soil washing[J]. Chemical Engineering Journal, 2021, 417: 129316-129322.
doi: 10.1016/j.cej.2021.129316 |
| [10] |
Fan Y, Cai S, Xu D K, et al. Reversible-tuning Krafft temperature of selenium-containing ionic surfactants by redox chemistry[J]. Langmuir, 2020, 36 (13) : 3514-3521.
doi: 10.1021/acs.langmuir.9b03747 pmid: 32172567 |
| [11] |
Imokawa G, Tsutsumi H, Kurosaki T. Surface activity and cutaneous effects of monoalkyl phosphate surfactants[J]. Journal of the American Oil Chemists’ Society, 1978, 55 (11) : 839-843.
doi: 10.1007/BF02682659 |
| [12] |
Nakagaki M, Handa T. Surface tension of aqueous solutions of disodium monoalkyl phosphates and their mixtures[J]. Bulletin of the Chemical Society of Japan, 1975, 48 (2) : 630-635.
doi: 10.1246/bcsj.48.630 |
| [13] |
Nelson A K, Toy A D F. The preparation of long-chain monoalkyl phosphates from pyrophosphoric acid and alcohols[J]. Inorganic Chemistry, 1963, 2 (4) : 775-777.
doi: 10.1021/ic50008a026 |
| [14] |
Worsfold P J, Gimbert L J, Mankasingh U, et al. Sampling, sample treatment and quality assurance issues for the determination of phosphorus species in natural waters and soils[J]. Talanta, 2005, 66 (2) : 273-293.
doi: 10.1016/j.talanta.2004.09.006 pmid: 18969993 |
| [15] |
Sakai K, Kaji M, Takamatsu Y. Fluorocarbon-hydrocarbon gemini surfactant mixtures in aqueous solution[J]. Colloids and Surfaces A, 2009, 333 (1-3) : 26-31.
doi: 10.1016/j.colsurfa.2008.09.022 |
| [16] |
Ohta A, Ozawa N, Nakashima S, et al. Krafft temperature and enthalpy of solution of N-acyl amino acid surfactants and their racemic modifications: Effect of the amino acid residue[J]. Colloid and Polymer Science, 2003, 281: 363-369.
doi: 10.1007/s00396-002-0784-y |
| [17] |
Gottlieb H E, Kotlyar V, Nudelman A. NMR chemical shifts of common laboratory solvents as trace impurities[J]. The Journal of Organic Chemistry, 1997, 62 (21) : 7512-7515.
doi: 10.1021/jo971176v |
| [18] |
Nanny M A, Minear R A. Characterization of soluble unreactive phosphorus using 31P nuclear magnetic resonance spectroscopy[J]. Marine Geology, 1997, 139 (1-4) : 77-94.
doi: 10.1016/S0025-3227(96)00098-9 |
| [19] |
Liu W, Wang X, Wang Z, et al. Flotation chemistry features in bastnaesite flotation with potassium lauryl phosphate[J]. Minerals Engineering, 2016, 85: 17-22.
doi: 10.1016/j.mineng.2015.10.010 |
| [1] | Yushi Sun,Zhao Chen,Zhenggang Cui,Xiaomei Pei,Binglei Song. Non-aqueous Pickering emulsions synergistically stabilized by double tailed surfactants and silica nanoparticles [J]. China Surfactant Detergent & Cosmetics, 2025, 55(10): 1252-1259. |
| [2] | Bo Sun,Xiaochun Liu,Baowen Lv,Hui Liu,Zhenxing Li,Yongli Yan. Effects of special surfactants on the foaming performance of organic foams [J]. China Surfactant Detergent & Cosmetics, 2025, 55(10): 1268-1274. |
| [3] | Guoqiang Lu, Meng Mu, Ye Fan, Xuefeng Liu, Yongmin Zhang. Study on the synthesis and properties of sulfate-spacered gemini surfactants [J]. China Surfactant Detergent & Cosmetics, 2025, 55(9): 1085-1092. |
| [4] | Yibo Li, Min Yang, Qinghuan Deng, Shuoshi Wang. Study on the mechanism of in-situ viscosity reduction and wettability control in oil displacement by diluted-microemulsion [J]. China Surfactant Detergent & Cosmetics, 2025, 55(9): 1093-1099. |
| [5] | Chao Tang, Jiaojiao Guan, Shouping Zhang, Wenliang Cai, Yulian Lin, Shuixiang Xie, Yunfei Xiang. Effects of asphaltene, resin, and petroleum acid on the phase transition and interfacial properties of emulsions [J]. China Surfactant Detergent & Cosmetics, 2025, 55(9): 1129-1136. |
| [6] | Mei Chen, Yaoyao Wu, Dandan Xia, Xiaowei Chang, Guizhen Su, Chen Liu. Foam and mildness study of trehalolipid surfactant in rinse off formulations [J]. China Surfactant Detergent & Cosmetics, 2025, 55(9): 1153-1162. |
| [7] | Xuyuan Zhang, Yingfeng Li, Shengti Cao, Chunxin Gao, Yueqing Huo, Xiaochen Liu. Application of alkyl diphenyl ethers/alkyl benzene mixed sulfonates in industrial cleaning [J]. China Surfactant Detergent & Cosmetics, 2025, 55(9): 1163-1168. |
| [8] | Yutong Liu, Bingbing Yuan, Tiantian Han, Gong Chen, Yonghang Mu, Linhua Song, Zi Wang. Interaction mechanism and application of the aqueous mixtures of surfactants and proteins [J]. China Surfactant Detergent & Cosmetics, 2025, 55(9): 1198-1206. |
| [9] | Zhecheng Wang, Zhihui Zheng, Minjia Yuan. Study on the foam properties of mixed systems based on sodium lauroyl glutamate [J]. China Surfactant Detergent & Cosmetics, 2025, 55(8): 1035-1041. |
| [10] | Qi Sun, Zhengrong Zhao, Zhicheng Xu, Lei Zhang, Lu Zhang. Effects of extended anionic surfactants on the wettability of polytetrafluoroethylene interface [J]. China Surfactant Detergent & Cosmetics, 2025, 55(8): 949-960. |
| [11] | Yanping Chu, Feng Gao, Weihua Zhang, Lei Zhang, Lu Zhang. Study on interfacial dilational rheology of surfactant flooding with low-interfacial-tension surfactants [J]. China Surfactant Detergent & Cosmetics, 2025, 55(8): 961-968. |
| [12] | Juan Zhang, Ping Liu, Xiaokang Hou, Yuan Gao, Qichao Lv, Zihao Yang. Study on the phase behavior and influencing factors for the emulsions of crude oil/petroleum sulfonate under reservoir conditions [J]. China Surfactant Detergent & Cosmetics, 2025, 55(8): 969-979. |
| [13] | Fengqin Li, Tao Geng, Jingjie Zhou, Jinyuan Sun, Ke Zhang, Chunyu Wang. Study on the mechanism and performance of different catalysts in the reaction between dodecanol and 1, 2-epoxybutane [J]. China Surfactant Detergent & Cosmetics, 2025, 55(8): 998-1005. |
| [14] | Guangliang Lu, Lei Tang, Wenzhong Tian, Jiaming Li, Yujun Feng, Hongyao Yin. Development and laboratory evaluation of anti-condensate oil foaming agent for shallow gas reservoirs in western Sichuan [J]. China Surfactant Detergent & Cosmetics, 2025, 55(7): 825-830. |
| [15] | Yawen Li, Weixin Li, Fenglun Zhang, Shihong Ma, Jianxin Jiang, Liwei Zhu. Synergistic properties of the binary mixed system of natural green surfactants: Camellia oleifera saponin and sodium cocoyl glycinate [J]. China Surfactant Detergent & Cosmetics, 2025, 55(7): 831-843. |
|
||