Welcome to China Surfactant Detergent & Cosmetics, Today is

China Surfactant Detergent & Cosmetics ›› 2026, Vol. 56 ›› Issue (1): 88-97.doi: 10.3969/j.issn.2097-2806.2026.01.011

• Basic research • Previous Articles     Next Articles

Study on the preparation and degradability of PLA biodegradable polyester material

Shujia Mao*()   

  1. Guangxi Police College, Nanning, Guangxi 530028, China
  • Received:2025-03-18 Revised:2025-12-23 Online:2026-01-22 Published:2026-02-05
  • Contact: E-mail: ljgh163@126.com. E-mail:l

Abstract:

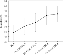
Nanocellulose (CNC) was carboxylated and then introduced into polylactic acid (PLA) matrix. The effects of carboxylated nanocellulose (CNC-C) and CNC-C doping amount on the mechanical properties, phase structure, crystallinity and degradation properties of CNC-PLA composite polyester were studied. The results showed that, the hydrophilicity of CNC was improved after carboxylation, whose water contact angle was decreased from 73.5° to 46.4°. The infrared spectrum showed that CNC-C and PLA formed composite films by physical blending. The addition of CNC-C made the fracture mode of the composite films change from brittle fracture to ductile fracture. The tensile strength and fracture elongation of 3% CNC-C/PLA composite film both reached the maximum values of 40.8 MPa and 5.5%, and the cold crystallization temperature (Tc) of this composite film was of the minimum value (114.5 ℃), and its crystallinity reached the maximum value of 50.6%. The CNC-C introduced improved the degradability of the composite film. The weight loss of 3% CNC-C/PLA composite film was 1.71% after degradation at 25 ℃ for one week, and it was 53.5% after degradation at 100 ℃ for one week, indicative of excellent biodegradability and mechanical properties.

Key words: polylactic acid, nanocellulose, carboxylation, composite film, biodegradation, crystallinity

CLC Number: 

  • TB332