Welcome to China Surfactant Detergent & Cosmetics, Today is

China Surfactant Detergent & Cosmetics ›› 2026, Vol. 56 ›› Issue (1): 28-40.doi: 10.3969/j.issn.2097-2806.2026.01.004

• Basic research • Previous Articles     Next Articles

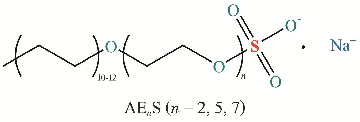
Excellent temperature/salt resistant foam by alcohol ether sulfates(AEnS)for gas well deliquification

Haiyong Tang1,2,Yueqing Huo1,2,Enze Li3,Shengti Cao1,2,Chunxin Gao1,2,Chuangxin Ji1,2,Xiaochen Liu1,2,*()   

  1. 1. China Research Institute of Daily Chemical Industry, Taiyuan, Shanxi 030001, China
    2. Shanxi Key Laboratory of Functional Surfactants, Taiyuan, Shanxi 030001, China
    3. Institute of Resources and Environment Engineering, Shanxi University, Taiyuan, Shanxi 030006, China
  • Received:2025-02-11 Revised:2025-12-23 Online:2026-01-22 Published:2026-02-05
  • Contact: E-mail: liuren517@163.com.

Abstract:

Gas wells often encounter blockages in gas recovery channels owing to fluid accumulation during the later stages of extraction, which adversely affects subsequent recovery efforts. These undesirable conditions (e.g., high condensate content, high temperature, and high salinity)often affect foaming agent performance. In this study, surfactants were screened using an airflow method that closely resembles field treatment method. Notably, alcohol ether sulfates(AEnS)with various polyoxyethylene(EO)units demonstrated exceptional performance in terms of liquid unloading efficiency and foam stability. At 80 ℃, the unloading efficiency of AEnS with two EO units (AE2S) in a high NaCl mass concentration (up to 200 g/L) and high condensate volume fraction (up to 20%) reached 84%. The dynamic surface tension and interfacial tension measured at the same temperature were used to analyze the influence of the diffusion rate and interfacial characteristics on the AEnS foam, while the viscosity and liquid film thickness measurements reflected the mechanical strength and liquid-carrying capacity. In addition, transmission electron microscopy(TEM)revealed that AE2S formed “dendritic” micellar aggregates at a high NaCl mass concentration, which significantly enhanced the viscosity and stability of the foam. The interactions among AEnS, NaCl, and H2O were analyzed using molecular dynamics, and it was confirmed from a molecular mechanics perspective that a stable structure can form among the three, contributing to the foam stability. These findings demonstrate the significant potential of the AE2S foam for gas well deliquification.

Key words: alcohol ether sulfates surfactant, gas well deliquification, liquid unloading efficiency, molecular dynamic simulation

CLC Number: 

  • TQ423