欢迎访问《日用化学工业(中英文)》,今天是

日用化学工业(中英文) ›› 2025, Vol. 55 ›› Issue (9): 1145-1152.doi: 10.3969/j.issn.2097-2806.2025.09.008

• 基础研究 • 上一篇    下一篇

可生物降解的聚酯材料的制备及疏水性能研究

程玮1,*(),祝盼盼2   

  1. 1.郑州信息工程职业学院 艺术与教育学院,河南 郑州 450121
    2.郑州经贸学院 艺术设计学院,河南 郑州 451191
  • 收稿日期:2024-09-19 修回日期:2025-08-18 出版日期:2025-09-22 发布日期:2025-10-11
  • 基金资助:
    河南省教育厅人文社会科学研究项目(2023ZDJH0857)

Preparation and hydrophobic properties of biodegradable polyester materials

Wei Cheng1,*(),Panpan Zhu2   

  1. 1. College of Arts and Education, Zhengzhou Information Engineering Vocational College, Zhengzhou, Henan 450121, China
    2. College of Art and Design, Zhengzhou University of Economics and Business, Zhengzhou, Henan 451191, China
  • Received:2024-09-19 Revised:2025-08-18 Online:2025-09-22 Published:2025-10-11
  • Contact: *E-mail: zxxtw2019@126.com.

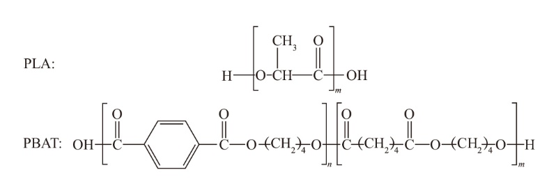
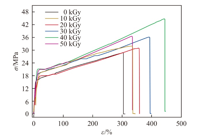
摘要: 以聚乳酸(PLA)和聚己二酸对苯二甲酸丁二醇酯(PBAT)为原料,通过双螺杆挤出机和平板硫化机制备了不同组分比例的可生物降解的PLA-PBAT聚酯共混物,测试了该共混物的加工性能、力学性能、微观形貌、热性能和疏水性能,并测试了该聚酯共混物在自然光照、自然水体、林地土壤三种环境中的降解性能。结果表明:熔融共混的方式制备的PLA-PBAT聚酯共混物属于物理混合,未发生化学反应,PBAT的加入降低了共混物的熔点,降低了最大转矩和平衡转矩。PBAT的加入促进了PLA的结晶过程,熔体结晶峰值温度的逐渐上升以及结晶峰面积的显著扩大。PBAT的加入对共混物玻璃化转变温度影响较小,结晶度随着PBAT占比的增大表现出先增大后降低的趋势,疏水性能增强,PBAT-15%试样的结晶度达到了最大值40.8%,冷结晶温度为98.1 ℃。PBAT-15%试样的断裂伸长率达到了最大值308.4%。降解测试表明了PLA-PBAT共混物塑料袋在林地土壤中的降解速率最快,能够作为一种环保绿色的包装材料。

关键词: 聚乳酸, 聚己二酸对苯二甲酸丁二醇酯, 聚酯材料, 生物降解, 疏水性能

Abstract:

In this paper, polylactic acid (PLA) and polybutylene adipate terephthalate (PBAT) were used as raw materials to prepare biodegradable PLA-PBAT polyester blends with different proportions by twin-screw extruder and plate vulcanization mechanism. The processing properties, mechanical properties, micromorphology, thermal properties and hydrophobic properties of the blends were tested. The degradation properties of the polyester blend in natural light, natural water and forest soil were tested. The results show that the PLA-PBAT polyester blend prepared by melt blending is a physical blend without chemical reaction. The addition of PBAT reduces the melting point of the blend and the maximum torque and equilibrium torque. The addition of PBAT promotes the crystallization process of PLA, and the peak crystallization temperature of the melt gradually increases and the crystallization peak area significantly expands. The addition of PBAT has little effect on the glass transition temperature of the blend, and the crystallinity increases first and then decreases with the increase of the proportion of PBAT, and the hydrophobic property is enhanced. The crystallinity of PBAT-15% samples reaches a maximum of 40.8%, and the cold crystallization temperature is 98.1 ℃. The elongation at break of PBAT-15% samples reaches a maximum of 308.4%. Degradation test shows that the degradation rate of PLA-PBAT blend plastic bag is the fastest in forest soil, and it can be used as an environmentally friendly and green packaging material.

Key words: polylactic acid, polybutylene adipate terephthalate, polyester material, biodegradation, hydrophobic property

中图分类号: 

  • TQ323.4